Toggle Navigation
Trang Chủ
Giới Thiệu
Sứ mạng, tầm nhìn, mục tiêu, giá trị cốt lõi
Sơ đồ tổ chức
Đảng bộ
Công đoàn
Đoàn thanh niên
Đào tạo
Thông tin tuyển sinh ĐH
Quy chế tuyển sinh
Giới thiệu ngành nghề
Chương trình đạo tạo Đại học
Thông tin tuyển sinh SĐH
Sinh viên
Thông báo cho sinh viên
Quy định - Quy chế
Biểu mẫu - Quy trình
Tin Tức
Phòng
Phòng Tổ chức hành chính
Phòng Tài chính kế toán
Phòng Đào tạo
Phòng Chính trị và Công tác sinh viên
Phòng Quản lý đầu tư và Thiết bị
Khoa
Khoa Lâm học
Khoa Nông học
Khoa Kinh tế
Khoa Khoa học cơ bản
Trung Tâm
Trung tâm Nghiên cứu và Thực nghiệm Mang Yang
Trung tâm Tư vấn và Dịch vụ Nông - Lâm nghiệp
Tuyển sinh
Việc làm
Trang chủ VNUF
Lịch họp
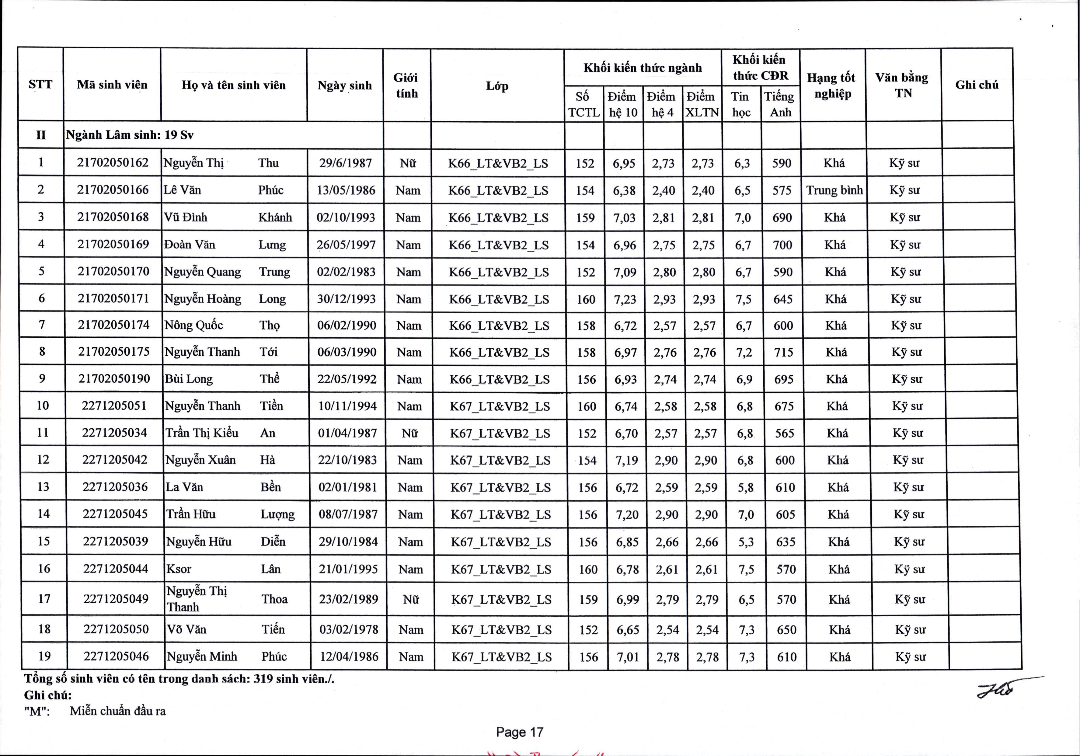
Quyết định Công nhận tốt nghiệp và cấp bằng tốt nghiệp cho sinh viên trình độ đại học, (Đợt tháng 12 năm 2025)
Chi tiết tin đăng:
Thể loại:
Thông báo sinh viên
Ngày đăng: 11 Tháng 1 2026
Phân hiệu tại tỉnh Gia Lai: 24 SV
Xem đầy đủ văn bản tại đây
Tin sau
CÔNG TÁC SINH VIÊN
Chức năng nhiệm vụ phòng CT&CTSV
Thông báo sinh viên
Quy định - Quy chế
Biểu mẫu - Quy trình
Tài liệu tuyên truyền